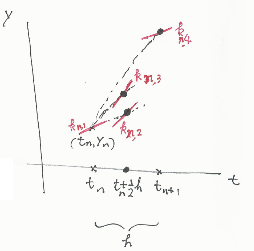
A numerical method for approximating the values of a solution of a Differential Equation, by discretizing the differential equation into a difference equation that can be used to find the approximate solution through recursive definition. Similar methods include Heun’s Method and Euler’s Method

- where
- where
- where
- where
- where
- Local Truncation Error:
- Global Truncation Error: The expansion of , very ugly