Prompt
Given head, the head of a linked list, determine if the linked list has a cycle in it.
There is a cycle in a linked list if there is some node in the list that can be reached again by continuously following the next pointer. Internally, pos is used to denote the index of the node that tail’s next pointer is connected to. Note that pos is not passed as a parameter.
Return true if there is a cycle in the linked list. Otherwise, return false.
Examples
- Example 1:

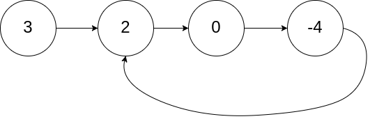
- Input: head = [3,2,0,-4], pos = 1
- Output: true
- Explanation: There is a cycle in the linked list, where the tail connects to the 1st node (0-indexed).
- Example 2:

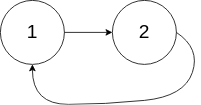
- Input: head = [1,2], pos = 0
- Output: true
- Explanation: There is a cycle in the linked list, where the tail connects to the 0th node.
- Example 3:

- Input: head = [1], pos = -1
- Output: false
- Explanation: There is no cycle in the linked list.
Solutions
Two Pointers Fast & Slow Solution
In C++
bool hasCycle(ListNode * head) {
ListNode * slow = head;
ListNode * fast = head;
while (fast && slow) {
slow = slow->next;
if (!fast->next) return false;
fast = fast->next->next;
if (slow == fast) return true;
}
return false;
}Explanation
Kick off both a slow and fast pointer from the head of the Linked List. If there is a cycle, the two pointers will eventually intersect. Else, they will never intersect. Based on this, we can tell whether or not there is a cycle.
Big O Analysis
Time Complexity